参加2022年上海中考的同学及家长,都希望尽早知道2022年上海中考录取分数线是多少?2022年上海高中录取最低分数是多少分?有没有公布呢?为了帮助大家更详细的了解2022年上海中考录取分数线以及上海历年中考分数线一览表,特为大家整理本文,希望可以帮助到大家。

2022年上海中考分数线
2022年上海中考录取分数线暂未公布,大家可以参考一下2021年上海中考录取分数线。
2021上海16区中考录取分数线公布
浦东新区








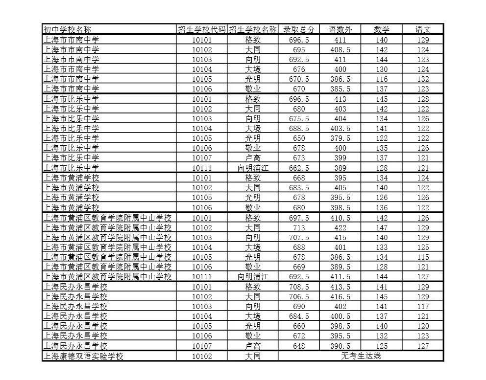
黄浦区




静安区




徐汇区





长宁区



普陀区



虹口区




杨浦区
(2021年杨浦区零志愿录取分数线)


截至发稿时,杨浦区名额分配最低投档分数线暂未在官网公布。
宝山区
(2021年宝山区“零志愿”投档分数线)

(2021年行知中学名额分配投档分数线)

(2021年吴淞中学名额分配投档分数线)

(2021年上大附中名额分配投档分数线)

闵行区
2021年上海市中等学校高中阶段招生(闵行区)零志愿投档分数线

2021年上海市中等学校高中阶段招生(闵行区)名额分配投档分数线

嘉定区


金山区



松江区


2021年松江区中招"名额分配"最低投档分数线



青浦区





奉贤区




崇明区
2021年上海市中等学校高中阶段招生(崇明区)零志愿投档分数线


2021年上海市中等学校高中阶段招生(崇明区)名额分配投档分数线


上海招考热线,网址:https://www.shmeea.edu.cn/page/index.html,通过这个网址大家就能查到上海2022中考成绩了。
2022年上海中考录取分数线就为大家介绍到这里,历年中考分数线一览表、中考志愿填报、中考考试策略等内容,请点击访问:2022中考栏目


